
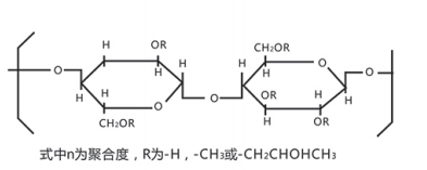
Hydroxypropyl methylcellulose ether (HPMC)
English: Hydroxypropyl Methyl Cellulose Abbreviation: HPMC, MHPC
Alias: Hypromellose; Cellulose Hydroxypropyl Methyl Ether;

source:
This product uses highly pure cotton cellulose as raw material, and is prepared by special etherification under alkaline conditions. The whole process is completed under automatic monitoring.
Physical properties:
This product is non-ionic cellulose ether, white powder, odorless and tasteless, soluble in water and most polar organic solvents and appropriate proportions of ethanol/water, propanol/water, dichloroethane, etc. Diethyl ether, acetone, and absolute ethanol are insoluble and swell into a clear or slightly turbid colloidal solution in cold water. The aqueous solution has surface activity, high transparency and stable performance. HPMC has the property of thermal gelation. The aqueous solution of the product is heated to form a gel and precipitate, and then dissolves after cooling. The gel temperature of products with different specifications is different. The solubility changes with the viscosity. The lower the viscosity, the greater the solubility. The properties of HPMC of different specifications are different. The dissolution of HPMC in water is not affected by the pH value. Particle size: 99 mesh pass rate is greater than 99
%. Bulk density: 0.25-0.70g/ (usually about 0.4g/), specific gravity 1.26-1.31. Discoloration temperature: 180-200℃, carbonization temperature: 280-300℃. HPMC has the characteristics of thickening ability, salt expulsion, pH stability, water retention, dimensional stability, excellent film-forming properties, and a wide range of enzyme resistance, dispersibility and cohesiveness.
Usage introduction:
1. Construction industry: As a water-retaining agent and retarder for cement sand slurry, it makes the sand slurry pumpable. Used as a binder in plastering paste, gypsum, putty powder or other building materials to improve spreadability and prolong operation time. It is used as a paste for ceramic tile, marble, plastic decoration, as a paste enhancer, and it can also reduce the amount of cement. The water retention of HPMC can prevent the slurry from cracking due to drying too fast after application, and enhance the strength after hardening.
2. Ceramic manufacturing: widely used as a binder in the manufacture of ceramic products.
3. Coating industry: as a thickener, dispersant and stabilizer in the coating industry, it has good compatibility in water or organic solvents. as paint remover.
4. Ink printing: as a thickener, dispersant and stabilizer in the ink industry, it has good compatibility in water or organic solvents.
5. Plastic: used as molding release agent, softener, lubricant, etc.
6. Polyvinyl chloride: It is used as a dispersant in the production of polyvinyl chloride, and it is the main auxiliary agent for the preparation of PVC by suspension polymerization.
7. Others: This product is also widely used in leather, paper products, fruit and vegetable preservation and textile industries.
Model and quality standard
model index | MT-E | MT-F | MT-K |
Methoxy group% | 28.0-30.0 | 27.0-30.0 | 19.0-24.0 |
Hydroxypropyl% | 7.0-12.0 | 4.0-7.5 | 4.0-12.0 |
Gel temperature/℃ | 58-64 | 62-68 | 70-90 |
Loss on drying% | ≤5% | ||
Residue% | ≤1.0% | ||
PH price | 4.0-8.0 | ||
Viscosity mpa.s | 50----200000 | ||
Note: The above specifications all have cold water dispersion type (delayed dissolution), such as MT-K60000S, S means that the model is cold water dispersion type.
Dissolution method:
1. All models can be added to the material by dry mixing;
2. When it needs to be directly added to the normal temperature aqueous solution, the cold water dispersion type is used. After adding, it usually takes 10-90 minutes to thicken;
3. Ordinary models can be dissolved by stirring and dispersing with hot water first, then adding cold water, stirring and cooling;
4. If there is agglomeration and wrapping when dissolving, it is because the stirring is not sufficient or the ordinary model is directly added to the cold water. At this time, it should be stirred quickly.
5. If bubbles are generated during dissolution, it can be left for 2-12 hours (the specific time is determined by the consistency of the solution) or removed by vacuuming, pressurizing, etc., or adding an appropriate amount of defoaming agent.
Safety: Health Hazards: This product is safe and non-toxic, and is generally considered to be safe.
Environmental impact: Avoid random scattering to cause air pollution caused by flying dust.
Physical and chemical hazards: Avoid contact with fire sources, and avoid the formation of a large amount of dust in a closed environment to prevent explosion hazards.
Shipping and storage matters:
Pay attention to sunscreen, rainproof, moistureproof, avoid direct sunlight, and store in a dry place.
Packaging Specifications:
Polyethylene lined paper bag: net weight 25kg/bag.




魯公網安備 37098302000520號